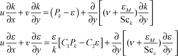
Summary - For both internal and external flows, academic TEXSTAN code has a choice of 4 two-equation k-ε models by Launder and Sharma1, Chien2, Lam-Bremhorst, as described by Schmidt and Patankar3, and Jones-Launder4. These models vary in subtle details, and one of the constants in the Jones-Launder model is changed from the literature citation to permit better agreement with benchmark test cases. All other constants and functionals agree with the citations. The low-Re form of the k-ε equation set are

We formulate the eddy diffusivity for momentum similarly to what we did for the one-equation model, and we modify it for low-Re turbulence. We keep √k as the turbulence velocity scale and from dimensional analysis we form a turbulence length scale as
lt = (k3/2/ε) and the eddy diffusivity for momentum becomes
![]()
or in terms of the turbulent viscosity, modified for low-Re turbulence
![]()
The flag ktmu identifies the four two-equation model choices for computing the turbulent viscosity.
| ktmu | two-equation turbulence kinetic energy-energy dissipation model choices for internal and external flows |
|---|---|
| = 21 | Launder-Sharma |
| = 22 | KY Chien |
| = 23 | Lam-Bremhorst |
| = 24 | Jones-Launder |
Details - The modeled high-Re transport equation for k is developed in the one-equation model section.

For the two-equation class, a high-Re transport equation for ε is developed and solved along with the k-equation, where the dissipation is defined the same as it was for the one-equation model

We can see the similarity in construction to the k-equation. The first term on the right of the equal sign is a production of dissipation, in analogy to the first term for the k-equation which is the production of k term. The second term is called the dissipation of dissipation, a term that causes destruction (or lowering) of ε, in exact analogy to how ε in the k-equation destroys (or lowers) the k value. The gradient terms are also similar. The turbulent part of the gradient term follows the nomenclature of Mansour, Kim, and Moin5
where the first term represents ε transfer due to the turbulence itself and the second term represents transfer due to pressure fluctuations, and the model uses mean field closure and a turbulent diffusivity for ε.
The models for the turbulent diffusion of k and ε use ideas similar to the turbulent Prandtl number for heat transfer,
![]()
We can rewrite both the k and ε equations into a more familiar form

In this formulation it is easy to see the (production - dissipation) term, and the inverse of the (k/ε) term in the ε equation has dimensions of time, and is often called the turbulent time scale term
![]()
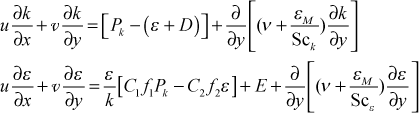
We now reformulate the high-Re version of the k-ε equation set to permit calculations in the near-wall region where the turbulence becomes highly anisotropic. The dissipation term in the k equation follows that which was developed for the low-Re version of the one-equation model, where
![]()
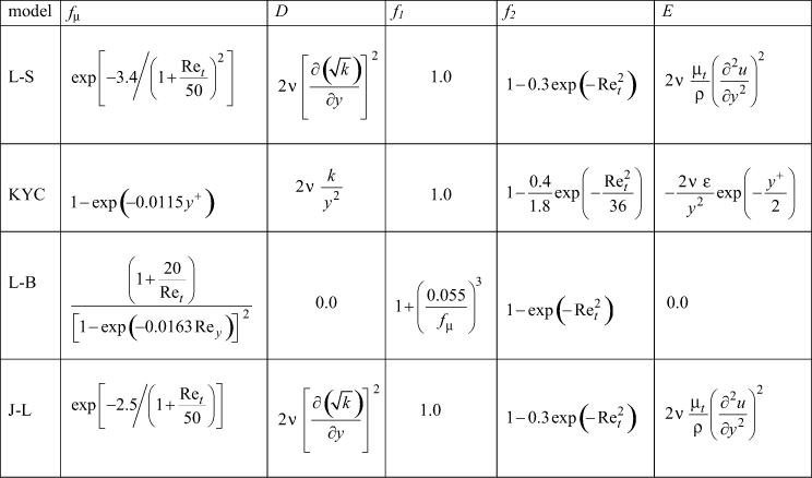
and where the εwall term is often called the D term for two-equation models. Another modification is to add a source term to the epsilon equation to control the growth of the turbulent length scale (related to epsilon) and/or provide correct near-wall viscous sublayer behavior. This term is often called the E term. Additionally, functionals are added to the other source and sink terms of the epsilon equation.
The resulting low-Re form of the k-ε equation set become

We formulate the eddy diffusivity for momentum similarly to what we did for the one-equation model, and we modify it for low-Re turbulence. We keep √k as the turbulence velocity scale and from dimensional analysis we form a turbulence length scale as
lt = (k3/2/ε) and the eddy diffusivity for momentum becomes
![]()
or in terms of the turbulent viscosity, modified for low-Re turbulence
![]()
At this point the differences among the various two-equation turbulence models will depend on the set of constants and functionals, along with the appropriate epsilon wall boundary condition.

where
![]()
and the model constants are

We see that Cμ = 0.09, whereas for the one-equation CD ≈ 0.09 and Cμ = (0.09)1/4 = 0.548. To see why these are different, we recall the analysis leading to these coefficients, production equals dissipation which gave

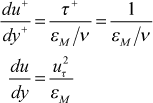
and in the Couette flow region where εM>>ν (the log region), the total shear stress equation combined with the Couette flow equation to give
or

Combining these results for the two-equation model leads to
or
![]()
Once again we use the same experimental information that k+ in this constant turbulent shear stress region is about 3 (we use 3.33, and it can range from 3-5), we find Cμ = 0.09.
We also comment on the dissipation equation constant C2 (similar to the CD coefficient for the one-equation model). When we consider how the k- and ε-equation behave in the free stream (the irrotational region beyond the edge of the boundary layer),
![]()
If we observe how k behaves for its decay behind grid-generated turbulence for a constant velocity and irrotational flow field, we see that ε can not be constant but must increase. Otherwise k would be unchanging (frozen). Using dimensional analysis ideas, we are lead to the form for the decay
![]()
This model works well to predict grid-generated turbulence decay with a value of C2 ≈ 1.8-2.0 and this value changes somewhat with distance as the turbulence decays and becomes "weak".
Boundary Conditions - The ε wall boundary condition for the Launder-Sharma, K Y Chien, and Jones-Launder models is ε=0. For the Lam-Bremhorst model, the gradient of ε is set to zero, partly relating to how they developed their functionals and the fact that they do not need the D term.
For the k equation, the no-slip leads to k=0 at the wall, and for all the models the free stream boundary conditions are the same.
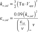
The boundary condition on k at the outer edge of the boundary layer comes from measurement of the flow-direction fluctuation in u∞ , which is normalized and called flow-direction turbulence intensity,
and then converted to turbulence kinetic energy with the assumption that the fluctuations are isotropic, namely the same in all three coordinate directions. With this assumption the free stream turbulence kinetic energy becomes
![]()
where Vapp is the approach velocity and Tu is the turbulence level at that same location.
The free-stream boundary condition on the ε equation is typically set equal to (k∞1.5/Le), where Le is the local free-stream turbulence length scale at the location where Tu is measured. Several choices exist for the Le scale. The most appropriate is the streamwise integral length scale obtained from the streamwise velocity autocorrelation. Note this should be about twice the vertical spatial scale if the flow is nearly isotropic. A second choice is the dissipation length scale, which relies heavily on the flow being homogeneous and isotropic. The dissipation scale is typically a factor of 2-3 larger than the integral scale. A third choice is to compute the length scale from a correlation if the turbulence was produced using a standard grid-generation scheme, similar to the procedure described by Van Fossen, Simoneau, and Ching, C. Y6. Whatever the choice, the resulting free stream ε should be on the order of 100 to 10,000.
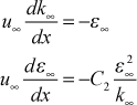
For the two-equation models in TEXSTAN the initial free stream values are permitted to change by solving their transport equations, evaluated at the free stream. These are a set of ordinary differential equations

with the initial value of k coming from information on Tu and Vapp (both input variables, tuapp and vapp) described above.
Note that these equations show that if you have an experimental distribution of free-stream k versus x, you can iteratively select the initial value of ε and solve this system of equations until the initial value matches the experimentally-measured decay rate for k.
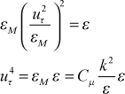
If the input variable epsapp is set =0, the initial value for epsilon defaults to a TEXSTAN-calculated value from the two-equation definition of eddy diffusivity for momentum,

The model constant in this set of initial conditions is (εM /ν)∞ and TEXSTAN uses (εM /ν)∞ = 1000. For example, if the approach velocity is 50 m/s and the approach Tu is 5%, then for air, the approach k is about 9 m2/s2 and the approach ε is about 400 m2/s3, and this value would reduce to about 80 m2/s3 if the approach velocity is 150 m/s. Both values are nominally within the order of magnitude range that was suggested. Note that if the user selects epsapp=0.01, it effectively freezes k∞ .
website updated Sept 2010 © 1996-2010 Michael E. Crawford - all rights reserved - website validated for CSS 2.1 and XHTML 1.0 strict at www.w3.org