This section contains terms that are often used in convective heat, mass, and momentum transfer. The section variables presents definitions of the flags and variables that appear in an input dataset. Definitions of the variables that appear in the output files are found in external flows: output files and internal flows: output files sections of this website.
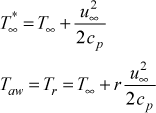
The adiabatic wall temperature is often called the recovery temperature. In TEXSTAN for variable property flows, the user can choose to base the heat transfer coefficient on either the stagnation temperature or the adiabatic wall (or recovery) temperature. The default value is stagnation temperature, and input flag k2 switches the choice to the adiabatic wall temperature, (Ts - Taw), where the stagnation temperature and adiabatic wall (or recovery) temperature definitions are

The recovery factor, r, for k2=1 is based on whether the flow is laminar or turbulent, r = Pr1/2 for laminar flow (mode=1) and r = Pr1/3 for turbulent flow (mode=2). For k2=3 the recovery factor is fixed at r = 0.892.
Note: that the adiabatic wall temperature for the case of a three-temperature potential heat transfer problem (gas turbine film cooling applications) has a completely different definition.


A Falkner-Skan flow is an external flow with a pressure gradient in which the free stream velocity u∞ (x) is proportional to xm.
where a is the approach velocity, b is a distance scaling factor, c serves as a virtual origin, and d is the Falkner-Skan variable m.
For m>0 the flow accelerates in the flow direction, leading to a favorable pressure gradient over the surface, and for m<0 the flow decelerates, leading to an adverse pressure gradient. Classical fluid mechanics similarity solution techniques are used to solve the Falkner-Skan problem, yielding a set of analytical expressions for such items as boundary layer thickness parameters, wall friction, and velocity profiles. The Falkner-Skan class of self-similar flows are often used to test boundary layer computer programs, and a number of TEXSTAN's benchmark datasets are based on this class of flows. Note that the classic Blasius problem is a subset of the Falkner-Skan problem for m=0, leading to u∞ = constant, and thus no pressure gradient over the surface. The classic 2-D stagnation point flow is also a subset of the Falkner-Skan problem for m=1 (b=1 and c=0), leading to u∞ directly proportional to x, and thus a good approximation of the velocity flow field on the leading edge of a cylinder in crossflow and on the leading edge of a typical turbine blade design.
A free convective boundary layer flow in TEXSTAN is an external flow over a flat surface that is driven purely by a free-convective or buoyancy body force. The free stream velocity over the surface is zero, i.e. there is no applied pressure gradient (equivalent to the Blasius flat plate problem). Technically a free convective flow is a natural convective flow in which there are no surrounding surfaces to disturb the flow field from being primarily two-dimensional. The strict requirement for a free convective flow to occur is that there must be some component of the gravitational force vector perpendicular to the density gradient within the fluid over the surface. The density gradient is caused either by controlling the surface temperature such that the surface is colder than the surrounding fluid or such that the surface is hotter than the surrounding fluid.
The body force per unit volume for free convective flows is ρg, where ρ is the fluid density and g is the local gravitation. Its sign convention is plus if the direction of action of g is in the +x flow direction and minus if the direction of action of g is in the -x direction. For example, to calculate flow on a heated vertical flat plate where the buoyancy force would cause fluid to flow upward along the plate, the direction of the gravitational force would be in the opposite (-x) direction, and the input to TEXSTAN for g would equal either -9.8 m/s2 or -32.17 ft/s2 (depending on whether the user has chosen SI or US Customary units).

The variable Ac is the flow cross-sectional area, and the variable um is the mass-averaged velocity (which is the same as the mean velocity). The wetted perimeter depends on the flow cross-sectional area: for a pipe it will be the circumference, and for an annulus it will be the sum of the inner circumference and the outer circumference.
For a flat duct (sometimes called a parallel planes duct) the perimeter can be defined as two times the duct (or parallel planes) spacing plus two times a "large" variable that represents the width of the parallel planes, say L, which is theoretically infinite in length. When the ratio of cross-sectional area to wetted perimeter is formed, terms will form where L is in the denominator, and in forming the limit as L goes to infinity, those terms will vanish. For the flat duct the area-perimeter ratio becomes (L x a)/(2L + 2a) = (a)/(2 + 2a/L) = a/2, leading to a hydraulic diameter of 2a.
The concept of mean field closure (MFC) is tied to time-dependent turbulent flowfields, and the idea that for many classes of turbulent flows the velocity field can be decomposed into steady time-independent velocity components and relatively small fluctuating velocity components. This idea is often called the Reynolds decomposition. Note that we ignore periodic flows in this description that would add a periodicity component. When Reynolds decomposition is applied to the Navier-Stokes equations and they are time-averaged (we neglect the issue of density and the need for Favre-averaging), the time-dependence is removed, and as a result there appears a set of six independent double-velocity correlations for the fluctuating velocity components. Likewise, for the energy equation using the same procedure there arises a set of three independent velocity-energy correlations for the fluctuating velocity-fluctuating energy (static enthalpy or temperature) components. These components are labeled six Reynolds stresses and three Reynolds heat fluxes, with or without their accompanying thermophysical properties such as density and specific heat. If we now apply the two-dimensional boundary layer approximations to the time-averaged equations we end up with the traditional boundary layer momentum and energy equations. The momentum equation has a new unknown, the turbulent Reynolds stress, and the energy equation has a new unknown, the turbulent heat flux. We have added two new unknowns to the boundary layer equations because of Reynolds decomposition and time-averaging.
At this point we need to digress to put MFC into perspective. To solve any set of equations we are required to have the number of equations equal the number of unknowns to have a unique solution. In two-dimensional laminar boundary layer flow the fluid stress is an extra unknown, and it is removed by introducing a new "equation", the constitutive equation called Newton's law of viscosity. In this equation (or fluid stress model) the fluid stress is made proportional to the fluid strain rate (which reduces to a velocity gradient when the boundary layer approximations are applied) and the unknown is shifted from being the fluid stress to being the dynamic viscosity. The number of unknowns is removed in theory and replaced by the "known" dynamic viscosity. Thus, the laminar momentum boundary layer problem is "closed" (number of equations equals the number of unknowns). Note, the pressure gradient is technically still be an unknown term, but it is made a known quantity by the Bernoulli equation and the free stream velocity boundary condition via an Euler equation solution or experimental velocity distribution. This is what differentiates boundary layer equations from Navier-Stokes equations - the boundary layer equations always have one more unknown (the pressure gradient) than equations. The end requirement is still the same, the number of equations have to equal the number of unknowns for a unique solution. And this will always be the case for laminar flows being solved by either the boundary layer equations or the Navier-Stokes equations.
We now return to MFC. We assume that the Reynolds shear stress is proportional to the mean field strain rate, and for the boundary layer approximations this reduces to the mean velocity gradient. The constant of proportionality is called the turbulent viscosity, in analogy to the molecular dynamic viscosity. Likewise the Reynolds heat flux is assumed proportional to the mean field temperature gradient, and its constant of proportionality is called the turbulent conductivity in analogy to the molecular thermal conductivity. What is clear is that we have simplified the turbulence problem in one respect, but we have not resolved the closure issue until we adopt a algebraic models for the turbulent viscosity and turbulent conductivity that do NOT introduce any new unknowns. With these algebraic models the turbulent momentum boundary layer problem and turbulent energy boundary layer problem are "closed".
One final observation - the alternative to MFC is Reynolds stress and Reynolds heat flux closure, where transport equations are proposed for the Reynolds stress and Reynolds heat flux. In the end there will always have to be modeling of the unknown terms. To avoid modeling one needs to consider direct numerical simulation or large-eddy simulation (which has only minimal modeling).
Mixed convective flows are typically low-Re forced convective flows with heat transfer and a gravitational body force component that can be aligned either in the direction of forced flow (aided flow) or against the direction of flow (opposed flow). Mixed flow in TEXSTAN is controlled by the appropriate choice of the momentum equation and energy equation source terms.
Internal mixed convection in channels is a special case, and the solution is overall iterative because the channel exit pressure can not be specified. The user gives TEXSTAN the inlet pressure, the mass flow rate (by way of the initial velocity profile), and the channel length. The flow is computed to the channel exit, and the fluid exit pressure is compared to the expected value (for example, ambient pressure). If the exit pressure is incorrect for the given fluid inlet pressure and channel length, the inlet velocity profile (usually a flat profile) is adjusted and the solution is repeated until the exit pressure from TEXSTAN matches the required exit pressure. Note that some mixed convective flows result in a reverse flow at the exit. This is not a possible solution in TEXSTAN.

In TEXSTAN, this is the calorically perfect gas model, and it is the variable property model kfluid=14, where the user specifies the fluid pressure, the fluid molecular weight, the fluid ratio of specific heats, and the fluid Prandtl number. The perfect gas model uses the ideal gas equation of state for density, ρ = P/ (RT), the fluid enthalpy is a function of temperature, but it is computed from a constant specific heat, and Prandtl number is also held constant.
The concepts of perfect gas and ideal gas come from the sciences of thermodynamics and compressible fluid mechanics, and you will find their definitions have some degree of interpretation. For background, a gas is considered a single-phase substance (non-reacting), requiring a single reversible work transfer mode (dw=Pdv) and a single reversible heat transfer mode (dq=Tds, from the second law of thermodynamics). Thus there will be a requirement for a single mechanical equation of state and a single thermal equation of state. All thermodynamic functions that describe the state of the fluid (gas) must be functions of two independent state variables (because of one work mode and one heat transfer mode). For the single-phase gas, these variables can be the pressure, P, and the temperature T. Thus, the specific volume (inverse is density), specific internal energy, and specific enthalpy become functions of (P,T).
The mechanical equation of state for a perfect gas comes from consideration of Boyle's Law and Charles' Law, leading to the density (inverse specific volume) calculated using ρ = P/(RT), and R is the molecular-specific gas constant for the gas (equal to the universal gas constant divided by the molecular weight of the gas). This equation is also called the ideal gas equation of state - they are the same. We see that ρ = ρ(P,T). For real gas behavior, the equation can be altered, and a simple model is to include a compressibility factor, Z, and ρ = ρ(Z,P,T).
The thermal equation of state for a perfect gas comes from combining the ideal gas equation of state with the first law of thermodynamics for a single-phase substance and the definitions of the specific heat functions. Because of the ideal gas (perfect gas) equation of state, the thermodynamic properties internal energy and enthalpy become only a function of temperature, specified in terms of specific heats, de = cv dT and di = cp dT. Note that both specific heats retain their function of temperature, cv=cv(T) and cp=cp(T), and their ratio, γ=(cp /cv) is also a function of temperature. This is the thermally perfect equation of state for a gas. Because this form of the model retains temperature dependencies for the specific heats, it is sometimes called the calorically imperfect gas model. In TEXSTAN a fluid that obeys the calorically imperfect model is called an ideal gas. Note that the ideal gas model retains the Prandtl number temperature dependency.
A calorically perfect gas model is the thermally perfect equation of state whose specific heats are held constant (calorically perfect). The ideal gas equation of state for density is retained, and the Prandtl number is a fixed value and not permitted to vary with temperature.
The TEXSTAN input variable for pressure is po.
For external flows that are variable property gas flows po is considered the stagnation pressure, P* or Pstag , and it is the sum of the fluid static pressure and a kinetic pressure term. The corresponding free stream static pressure is initialized at the location xstart by first computing the Mach number at that location and then using the 1-dimensional perfect gas formulation
where γ is the ratio of specific heats. The γ variable is either an input variable gam/cp for the kfluid=14,15 perfect-gas model or it is an entry in variable property tables for the other gas model options.
For external flows that are constant property gas flows and for all constant or variable property liquid flows over external geometries, po is assumed to be the free stream static pressure at xstart. Because of the boundary layer assumptions and the assumption of no effect of curvature on pressure, the fluid static pressure will be constant over the external flows.
For external flows with variable free stream velocity the free stream static pressure is changed during integration using the Bernoulli equation,
For internal flows the input variable po is assumed to be the static pressure at xstart, and the pressure is assumed to be constant over the flow cross section.
For internal flows the pressure is changed in the flow direction by first establishing the local pressure gradient at each x location using an iterative scheme to satisfy the axial flow direction conservation of mass at that location, and then integrating in a manner similar to how the external pressure gradient is integrated,
For external flows the pressure gradient is specified via the streamwise-direction distribution of the free stream velocity distribution u∞ (x). The local pressure gradient is then calculated using Euler's streamline-direction equation for inviscid fluid motion, ignoring axial-direction surface curvature:
For internal flows, the pressure is changed during integration by first establishing the local pressure gradient at each x location using an iterative scheme to satisfy the axial flow direction conservation of mass at that location.
The Reynolds analogy can be applied to both laminar and turbulent flows. For laminar flows, the root of the analogy is in the similarity of the nondimensional profiles for velocity, temperature, and mass concentration, leading to the nondimensional surface quantities being equal, as described by the friction coefficient divided by two equal to the heat transfer Stanton number equal to the mass transfer Stanton number, cf /2 = St = Stm. This similarity will occur under the following restrictions: the free stream velocity is constant, the surface temperature is constant, and the surface mass concentration for mj in a binary mixture is constant, along with constant properties and no viscous dissipation. The nondimensional fluid transport parameters Prandtl number and Schmidt number must also be unity, Pr = Sc = 1.00, where Pr is the ratio of the momentum diffusivity, ν, to thermal (heat) diffusivity, α, and Sc is the ratio of the momentum diffusivity to the mass transfer diffusivity, Dj. This equality of diffusivities is the Reynolds analogy, and it leads to the similarity of the nondimensional profiles because with the analogy the mathematical form of the governing differential equations and boundary conditions are similar. From an engineering perspective, the analogy permits interchange of momentum, heat, and mass transfer results. The classical extension of this analogy permits incorporation of the effects of near unity Pr and Sc, and sometimes called the Chilton-Colburn analogy or j-factor analogy in the chemical engineering and heat exchanger literature where cf /2 = St Pr2/3 = Stm Sc2/3 and the latter two quantities are called jH and jM.
For heat and mass transfer studies, the Lewis number is defined as Le = Pr/Sc, and Le = 1.00 permits heat transfer experimental investigations to be completely interchangeable with mass transfer experimental investigations, providing the restrictions mentioned above are applied. Corrections for near-unity Le experiments are often applied to the experimental data.
For turbulent flow, modeling turbulent transport using mean field closure introduces the turbulent diffusivity for momentum, εM , and the corresponding turbulent diffusivity for heat, εH . The laminar Reynolds analogy is extended by forming the turbulent Prandtl number, Prt equal to the ratio of these two turbulent diffusivities, and Prt = 1.00 is the turbulent Reynolds analogy. As with laminar flow, when this analogy holds the nondimensional turbulent velocity and temperature profiles are expected to be similar, leading to cf /2 = St. The idea of Prt = 1.00 implies the distribution of turbulent shear stress and turbulent heat flux are equal throughout the flow. This has been studied in depth for purposes of turbulent transport modeling and development of models for Prt.
For external flows, the TEXSTAN input variable for temperature is tstag, and for internal flows there are two input variables, tref and wall.
For external flows that are variable property gas flows tstag is considered the stagnation temperature, T* or Tstag , and it is the sum of the fluid static temperature and a kinetic energy term. The free stream static temperature at xstart is initialized by interpolating the ubI(m) array to determine the free stream velocity at this location and then calculating the static temperature by removing the kinetic energy term. At each axial location the free stream temperature is computed based on the local free stream velocity.
For all constant property external flows, tstag is assumed to be the free stream static temperature at xstart, and it is not permitted to vary in the flow direction.
For all internal flows the input variable tref is considered a static temperature, Tref , and it is used in conjunction with the input variable twall to construct an initial or entry temperature profile, and then converted to a stagnation enthalpy profile if variable properties are being considered.
The fluid temperature, T, is a static temperature by definition, and it is often called the thermodynamic temperature of the fluid. This is the temperature used for all fluid property calculations. If the fluid properties are constant (kfluid=1), TEXSTAN interprets the energy equation as a temperature equation, and all temperatures are considered static temperatures. If the fluid properties are variable (kfluid>1), TEXSTAN interprets the energy equation as a stagnation enthalpy equation, and when a stagnation enthalpy profile is computed at each integration step, it is converted into a static temperature profile using variable property equations or tables to determine the thermophysical properties at each cross-stream y location.
For external flows viscous dissipation in gases begins to become important when the Mach number, Ma, exceeds 0.4, and it becomes extremely important for Mach numbers that are transonic or higher, Ma > 0.85. For liquids it is also important for high subsonic flows. For internal flows, viscous dissipation in gases and liquids is important for high-subsonic flows, and it is especially important for low-speed flow of liquids in which the Prandtl number is large (typically Pr > 5-20).
To properly model high speed flows the energy equation must be solved to capture the effect of variable properties caused by viscous dissipation (viscous work effect). The variable properties flag kfluid is set > 1 (appropriate to the fluid of choice) and the viscous dissipation flag is activated by setting jsor(j) =3 for the energy equation. For low-speed flows of high Pr fluids, variable properties are not required to consider viscous dissipation.
Viscous dissipation has its roots in the thermal energy equation, a First Law of Thermodynamics equation that represents how the combined rates of work transfer and heat transfer affect the convective transport of the fluid's specific internal energy, specific kinetic energy, and specific potential energy. The rate of work transfer relates to the total stress tensor and to how surrounding fluid elements do work based on the three components that make up the total stress tensor: viscous shear stresses, rotational shear stresses, and normal stresses.
We assign a shear-shaft work label to the viscous rotational shear stress component of work rate (often it arises from a shaft work input), we assign a viscous work label to the viscous shear component of work rate, and we assign the flow work label to the normal stress (or) compressive component of work rate. We then keep the shear-shaft work rate term and the heat transfer rate term on the left hand side of the First Law equation (the classic work and heat terms), and we move the other two work rate terms to the right hand side of the equation.
If we wish to call the First Law equation a stagnation enthalpy equation, we combine the flow-work rate term of the normal stresses (fluid displacement of fluid) with the convective transport of the fluid specific internal energy and specific kinetic energy and call this term collectively the convective transport of the stagnation enthalpy of the fluid. We neglect the specific potential energy of the fluid. The last term on the right hand side of the stagnation enthalpy equation is the viscous work rate term. On a differential basis it is the product of the velocity vector and the shear components of the viscous stress tensor.
A traditional form of the energy equation applicable to low-speed constant-property flows is the so-called split energy equation, and in its reduced form the temperature equation. Consider the boundary layer formulation (for ease of description) of the momentum equation and stagnation enthalpy equation. Take the momentum equation and multiply it by the flow-direction u velocity component to create a mechanical energy boundary layer equation and subtract this equation from the stagnation enthalpy equation. In doing so, we remove mechanical energy from the First-Law formulation and we are left only with what we call the split energy equation (sometimes called the static enthalpy or internal energy equation). This equation removes the thermodynamically reversible component of the viscous work term and what remains is the irreversible component - which is the viscous dissipation that represents conversion of mechanical work to thermal energy. The split energy equation is equally correct as an energy equation and it is required when formulating combustion mass transfer problems.
In summary, TEXSTAN is formulated with the exact First-Law based stagnation enthalpy equation as the energy equation. TEXSTAN does not use the split energy equation primarily because it only does limited mass transfer problems. For constant properties, the stagnation enthalpy equation reduces to a temperature equation by assuming a fluid model that approximates the fluid as either an ideal gas or as an incompressible liquid (without the flow-work term). This form of the temperature equation has the viscous work term reformulated as a viscous dissipation term (precisely the same as what one finds in most undergraduate heat transfer texts).
website updated Sept 2010 © 1996-2010 Michael E. Crawford - all rights reserved - website validated for CSS 2.1 and XHTML 1.0 strict at www.w3.org